【今日观点】 大语言模型排行榜!ChatGPT 稳居榜首,国产模型表现亮眼
近年来,随着人工智能技术的飞速发展,大语言模型(LLM)逐渐成为科技领域的热门话题。 这些模型拥有强大的语言理解和生成能力,可以进行文本摘要、问答、翻译、代码生成等多种任务,并展现出巨大的应用潜力。 然而,面对琳琅满目的模型,如何判断哪个模...
近年来,随着人工智能技术的飞速发展,大语言模型(LLM)逐渐成为科技领域的热门话题。 这些模型拥有强大的语言理解和生成能力,可以进行文本摘要、问答、翻译、代码生成等多种任务,并展现出巨大的应用潜力。 然而,面对琳琅满目的模型,如何判断哪个模...

Quake-III Arena (雷神之锤3)是90年代的经典游戏之一。该系列的游戏不但画面和内容不错,而且即使计算机配置低,也能极其流畅地运行。这要归功于它3D引擎的开发者约翰-卡马克(John Carmack)。事实上早在90年代初DO...

技术行业知识更新换代非常快,开发者需要不断的补充知识。就像编程语言一样,也许今年非常流行这种语言,但是明年又将兴起一种新语言。对于开发者来说,补充知识的速度要跟上技术发展的速度。W3Cschool小师妹为大家收集了在线开源技术手册大全,无论...

作为当今世界上很伟大的一名程序员,Linux的创始人Linus Torvalds可以说受到很多人的尊敬与崇拜。像Git版本的控制系统以及Linux内核,都是他写出来的。虽然在技术上成就很大,但是Linus Torvalds的火爆脾气,那...

对于前端工程师来说,Bootstrap再熟悉不过了。如今Bootstrap的运用越来越广泛了,因为它带来了新的设计革命,使得设计以及开发变得更加的方便以及简单。基于此,W3Cschool小师妹将为大家带来10款Bootstrap 设计工具,...

做好程序员也不容易,开发的软件要更大、更好,而且还要做到每个人都会用,这相当不容易。别担心,为了解决这个问题,某平台推出了31套在线自学课程,涵盖的内容相当广泛,无论是后端、云、Web,还是Android,W3Cschool小师妹已经为大家...

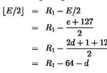
有的程序员一天能写很多代码,有的程序员几天都写不了多少代码。这都很正常,因为代码量不能衡量一个程序员的水平。有些时候,简简单单的一行代码,让人看了觉得与世绝伦。有个人初次看见这行代码的时候,感叹世界上竟然有如此厉害的存在。 这位分享者称...

对于很多开发者来说,像Java、C、C++等才是最热门的语言。但是说实话,像这些热门的编程语言,学习的人数很多。找工作的时候,很多人竞争同一份工作,录取的概率比较低。而像scala、Dart、Flack、Rust等小众编程语言,要是学得好的...

携程网,相信大家都很熟悉吧!在国内,携程网虽然比不上百度、腾讯等大公司,但是也算是数一数二的公司。很多程序员都想进入携程网工作,最起码待遇好。但是有这么一位程序员,面试携程的时候,竟然被拒绝了,理由是这位程序员太看重钱。 下面是这位程序...

不知道各位有没有看过美剧《硅谷》?在很多人的心目中,科技人的形象基本上是行为呆板,而且穿戴邋遢的书呆子。但是在《硅谷》这部情景喜剧中,你也许可以发现科技人不一样的一面。而在这部剧第三季的第一集中,出现了神秘代码。那么这些神秘的代码,究竟写的...

这几年,编程相当热门。早前有个14岁的小萝莉,自学编程,竟然可以独自开发游戏。这位才14岁的小女孩,即使没有编程经验,但是她最终实现了自己的梦想。其实即使零基础,也可以自学编程。下面这几款游戏,你可以边学代码,边玩游戏。 游戏一:Cod...