
【Python】垃圾邮件识别
本文转载至知乎ID:Charles(白露未晞)知乎个人专栏 下载W3Cschool手机App,0基础随时随地学编程 >>戳此了解 导语 利用简单的机器学习算法实现垃圾邮件识别。 让我们愉快地开始吧~ 相关文件 百度网盘下载链接:...

本文转载至知乎ID:Charles(白露未晞)知乎个人专栏 下载W3Cschool手机App,0基础随时随地学编程 >>戳此了解 导语 利用简单的机器学习算法实现垃圾邮件识别。 让我们愉快地开始吧~ 相关文件 百度网盘下载链接:...

本文转载至知乎ID:Charles(白露未晞)知乎个人专栏 下载W3Cschool手机App,0基础随时随地学编程 >>戳此了解 导语 利用Python搭建简单的深度强化学习网络(DQN)玩CartPole这个小游戏。。。 这是...

本文转载至知乎ID:Charles(白露未晞)知乎个人专栏 下载W3Cschool手机App,0基础随时随地学编程 >>戳此了解 导语 昨天在看GitHub上深度学习方面stars较高的开源项目,于是发现了这个有趣的内容: 使用...

本文转载至知乎ID:Charles(白露未晞)知乎个人专栏 下载W3Cschool手机App,0基础随时随地学编程 >>戳此了解 导语 好几天没推文的罪恶感让我决定今天来水一篇文章。 和之前“Python玩CartPole”那篇...

本文转载至知乎ID:Charles(白露未晞)知乎个人专栏 下载W3Cschool手机App,0基础随时随地学编程 >>戳此了解 导语 T_T没有科研梦想的人半夜过来水篇文章~~~ 让Python学会写写歌,创创作~~~ 纯属娱...

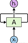
本文转载至知乎ID:Charles(白露未晞)知乎个人专栏 导语 本文将在此基础上介绍LSTM网络。最后举一个类似“Python学写作”的例子来实现文本生成,如生成诗歌、小说等等。 让我们愉快地开始吧~~~ 参考文献 Understandi...

本文转载至知乎ID: Charles(白露未晞)知乎个人专栏 下载W3Cschool手机App,0基础随时随地学编程 >>戳此了解 导语 T_T之前似乎发过类似的文章,那时候是用Keras实现的,现在用的PyTorch,而且那时...

本文转载至知乎ID:Charles(白露未晞)知乎个人专栏 下载W3Cschool手机App,0基础随时随地学编程 >>戳此了解 导语 Hi~~~ “浮云一别后,流水十年间。”忙忙碌碌中发现又有多日没有更新公众号了,过来更一发~...

本文转载至知乎ID: Charles(白露未晞)知乎个人专栏 下载W3Cschool手机App,0基础随时随地学编程 >>戳此了解 导语 利用Python搭建简单的GAN网络来生成MNIST数据集。其中GAN,即生成对抗网络。 ...

本文转载至知乎ID:Charles(白露未晞)知乎个人专栏 下载W3Cschool手机App,0基础随时随地学编程>>戳此了解 参考文献 用深层卷积生成对抗网络进行无监督表示学习; GenerativeAdversarialNe...